基本信息:
中文名称 碘苷
中文别名 5''-碘-2-去氧尿核苷;疱疹净;5-碘代-2''-脱氧尿嘧啶核苷;2''-脱氧-5-碘-尿核苷疱疹净;2''-脱氧-5-碘-尿核苷;5-碘-2-脱氧尿苷;1-(2-Deoxy-β-D-ribofuranosyl)-5-iodouracil;5''-碘去氧尿苷;5-碘-2''-脱氧尿苷;5-碘-2''-脱氧尿苷;碘脱氧尿苷;
英文名称 5-iodo-2''-deoxyuridine
英文别名 Idoxuridine;5-Iodo-2''-deoxyuridine;
CAS号 54-42-2
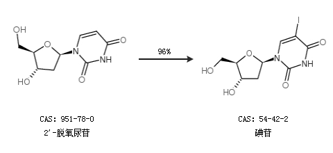
合成路线:
1.通过2''-脱氧尿苷和5-碘尿嘧啶合成碘苷

2.通过2''-脱氧尿苷合成碘苷,收率约96%;

合成路线仅供参考