你好,欢迎来到中华试剂网 购试剂 买耗材! [请登录][注册有惊喜]

货号快速下单 | 签到送积分   | 会员中心 | 客服热线:400-021-2765

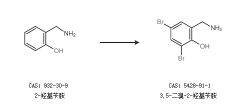
3,5-二溴-2-羟基苄胺的合成路线有哪些?

提问时间:2021/4/22 10:11:44
3,5-二溴-2-羟基苄胺有什么方法可以合成?

1条回复:

匿名
2021/4/22 10:11:44
基本信息:
中文名称 3,5-二溴-2-羟基苄胺
英文名称 2-(aminomethyl)-4,6-dibromophenol
英文别名 2-Aminomethyl-4,6-dibrom-phenol;2-aminomethyl-4,6-dibromo-phenol;3.5-Dibrom-2-oxy-benzylamin;
CAS号 5428-91-1

合成路线:
1.通过2-羟基苄胺合成3,5-二溴-2-羟基苄胺


2.通过3,5-二溴水杨醛肟合成3,5-二溴-2-羟基苄胺


合成路线仅供参考
回复