你好,欢迎来到中华试剂网 购试剂 买耗材! [请登录][注册有惊喜]

货号快速下单 | 签到送积分   | 会员中心 | 客服热线:400-021-2765

3-硝基双苯并呋喃的合成路线有哪些?

提问时间:2021/4/22 10:11:44
3-硝基双苯并呋喃有什么方法可以合成?

1条回复:

匿名
2021/4/22 10:11:44
基本信息:
中文名称 3-硝基双苯并呋喃
中文别名 3-硝基二苯并呋喃;
英文名称 3-Nitrodibenzo[b,d]furan
英文别名 3-Nitrodibenzofuran;
CAS号 5410-97-9

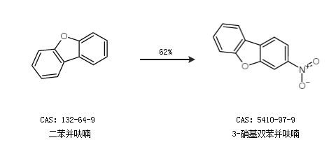
合成路线:
1.通过二苯并呋喃合成3-硝基双苯并呋喃,收率约92%;


2.通过二苯并呋喃合成3-硝基双苯并呋喃,收率约62%;


合成路线仅供参考
回复