基本信息:
中文名称 脱氧熊果苷
中文别名 脱氧熊果甙;对-(四氢-2H-吡喃-2-氧基)苯酚;4-[(四氢-2H-吡喃-2-基)氧基]苯酚;
英文名称 Deoxyarbutin
英文别名 Phenol (4-[(tetrahydro-2H-pyran-2-yl)oxy];4-((Tetrahydro-2H-pyran-2-yl)oxy)phenol;4-[(Tetrahydro-2H-pyran-2-yl)oxy]phenol;4-(oxan-2-yloxy)phenol;
CAS号 53936-56-4
合成路线:
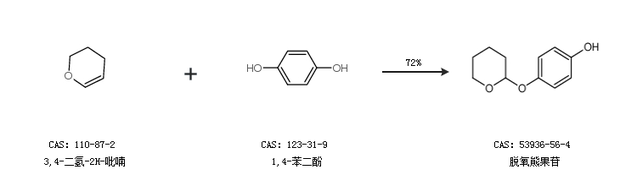
1.通过3,4-二氢-2H-吡喃和1,4-苯二酚合成脱氧熊果苷,收率约72%;

2.通过4-(2-四氢-2H-吡喃氧代)苯基溴化镁合成脱氧熊果苷,收率约62%;

合成路线仅供参考