你好,欢迎来到中华试剂网 购试剂 买耗材! [请登录][注册有惊喜]

货号快速下单 | 签到送积分   | 会员中心 | 客服热线:400-021-2765

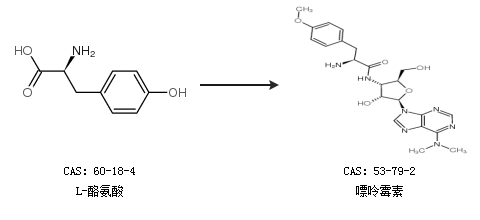
嘌呤霉素的合成路线有哪些?

提问时间:2021/4/22 10:11:44
嘌呤霉素有什么方法可以合成?

1条回复:

匿名
2021/4/22 10:11:44
基本信息:
中文名称 嘌呤霉素
英文名称 puromycin
英文别名 PUROMYCIN;cl13,900;3123l;p-638;1-mm;Stylomycin;achromycin;
CAS号 53-79-2

合成路线:
1.通过N-苄氧羰基-L-酪氨酸合成嘌呤霉素


2.通过L-酪氨酸合成嘌呤霉素


合成路线仅供参考
回复