你好,欢迎来到中华试剂网 购试剂 买耗材! [请登录][注册有惊喜]

货号快速下单 | 签到送积分   | 会员中心 | 客服热线:400-021-2765

4,4’-二氨基二苯胺的合成路线有哪些?

提问时间:2021/4/22 10:11:44
4,4’-二氨基二苯胺有什么方法可以合成?

1条回复:

匿名
2021/4/22 10:11:44
基本信息:
中文名称 4,4’-二氨基二苯胺
中文别名 4,4''-二氨基二苯胺;
英文名称 N1-(4-Aminophenyl)benzene-1,4-diamine
英文别名 4-N-(4-aminophenyl)benzene-1,4-diamine;
CAS号 537-65-5

合成路线:
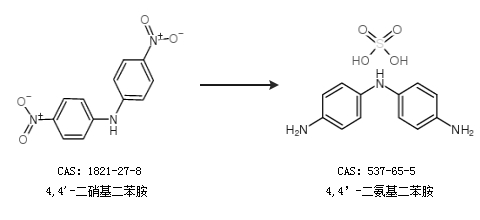
1.通过4,4''-二硝基二苯胺合成4,4’-二氨基二苯胺


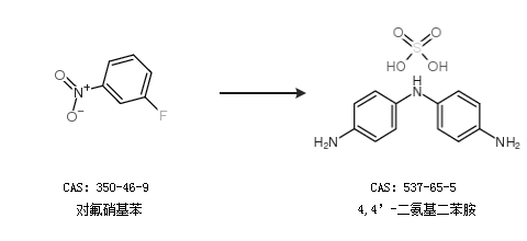
2.通过对氟硝基苯合成4,4’-二氨基二苯胺


合成路线仅供参考
回复