基本信息:
中文名称 间双没食子酸
中文别名 間貳五倍子酸;2,3-二羟基-间-二没食子酸;
英文名称 digallic acid
英文别名 3-galloylgallic acid;Digallic acid;Gallic acid,3-gallate;m-Galloylgallic acid;3-galloyloxy-4,5-dihydroxy-benzoic acid;m-Digallic acid;m-digallate;3,4-dihydroxy-5-(3,4,5-trihydroxybenzoyl)oxybenzoic acid;Gallic acid 3-monogallate;
CAS号 536-08-3
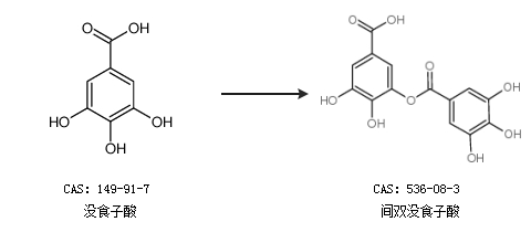
合成路线:
1.通过β-五没食子酰葡萄糖合成间双没食子酸

2.通过没食子酸合成间双没食子酸

合成路线仅供参考