基本信息:
中文名称 1,4-二氨基蒽醌隐色体
英文名称 1,4-diaminoanthracene-9,10-diol
英文别名 (+-)-1.4-Diamino-10-hydroxy-anthron;1.4-Diamino-anthracendiol-(9.10);9,10-Anthracenediol,1,4-diamino;1,4-Diamino-9,10-anthracenediol;Leuko-1,4-diaminoanthrachinon;1,4-Diamino-anthracen-9,10-diol;1,4-Diamino-9,10-dihydroxyanthraquinone;1.4-Diamino-anthrahydrochinon;Leuko-1,4-diaminoanthrachinon [Czech];EINECS 226-210-4;Leuco-1,4-diaminoanthraquinone;1,4-diamino-anthracene-9,10-diol;
CAS号 5327-72-0
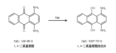
合成路线:
1.通过1,4-二氨基蒽醌合成1,4-二氨基蒽醌隐色体,收率约79%;

2.通过2,3-二氢-9,10-二羟基-1,4-蒽二酮合成1,4-二氨基蒽醌隐色体

合成路线仅供参考