你好,欢迎来到中华试剂网 购试剂 买耗材! [请登录][注册有惊喜]

货号快速下单 | 签到送积分   | 会员中心 | 客服热线:400-021-2765

2,3-二甲基-4-硝基苯甲腈的合成路线有哪些?

提问时间:2021/4/22 10:11:43
2,3-二甲基-4-硝基苯甲腈有什么方法可以合成?

1条回复:

匿名
2021/4/22 10:11:43
基本信息:
中文名称 2,3-二甲基-4-硝基苯甲腈
英文名称 2,3-Dimethyl-4-nitrobenzonitrile
英文别名 2,3-Dimethyl-4-nitro-benzonitrile;4-Nitro-2,3-dimethyl-benzonitril;
CAS号 52962-97-7

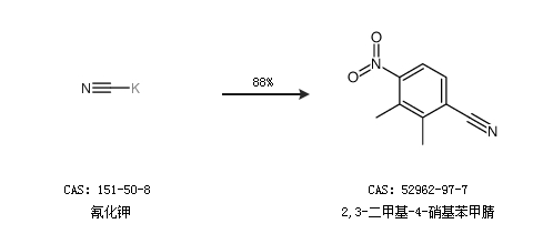
合成路线:
1.通过氰化钾合成2,3-二甲基-4-硝基苯甲腈,收率约88%;


2.通过4-氟苯酚合成2,3-二甲基-4-硝基苯甲腈


合成路线仅供参考
回复