你好,欢迎来到中华试剂网 购试剂 买耗材! [请登录][注册有惊喜]

货号快速下单 | 签到送积分   | 会员中心 | 客服热线:400-021-2765

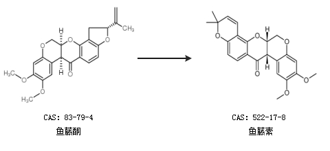
鱼藤素的合成路线有哪些?

提问时间:2021/4/22 10:11:43
鱼藤素有什么方法可以合成?

1条回复:

匿名
2021/4/22 10:11:43
基本信息:
中文名称 鱼藤素
中文别名 魚藤素;魚藤素;
英文名称 Deguelin
英文别名 Tocris-1770;
CAS号 522-17-8

合成路线:
1.通过鱼藤酮合成鱼藤素


合成路线仅供参考
回复