基本信息:
中文名称 6-氨基荧光素
中文别名 5-氨基荧光素 (异构体II);5-氨基荧光素;5-氨基荧光素(异构体II);6-氨基-3'',6''-二羟基螺[异苯并呋喃-1(3H),9''-(9H)占吨]-3-酮;
英文名称 6-Aminofluorescein
英文别名 6-Amino-3'',6''-dihydroxyspiro[isobenzofuran-1(3H),9''-(9H)xanthen]-3-one (isomer II);5-amino-3'',6''-dihydroxyspiro[2-benzofuran-3,9''-xanthene]-1-one;Fluoresceinamine (isomer II);6-Amino-3'',6''-dihydroxy-3H-spiro[isobenzofuran-1,9''-xanthen]-3-one;Fluoresceinamine isomer II;
CAS号 51649-83-3
合成路线:
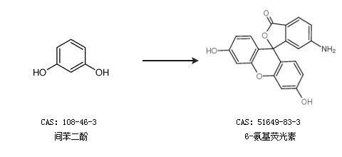
1.通过间苯二酚合成6-氨基荧光素

2.通过4-硝基邻苯二甲酸合成6-氨基荧光素

合成路线仅供参考