你好,欢迎来到中华试剂网 购试剂 买耗材! [请登录][注册有惊喜]

货号快速下单 | 签到送积分   | 会员中心 | 客服热线:400-021-2765

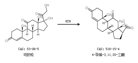
4-孕烯-3,11,20-三酮的合成路线有哪些?

提问时间:2021/4/22 10:11:43
4-孕烯-3,11,20-三酮有什么方法可以合成?

1条回复:

匿名
2021/4/22 10:11:43
基本信息:
中文名称 4-孕烯-3,11,20-三酮
中文别名 11-酮孕甾酮;
英文名称 4-Pregnene-3,11,20-trione
英文别名 11-KETOPROGESTERONE;
CAS号 516-15-4

合成路线:
1.通过11Alpha-孕酮合成4-孕烯-3,11,20-三酮


2.通过可的松合成4-孕烯-3,11,20-三酮,收率约82%;


合成路线仅供参考
回复