基本信息:
中文名称 3,7-二甲基-2,6-辛二烯腈
中文别名 3,7-二甲基-2,6-辛二烯-1-腈;3,7-二甲基-2,6-辛二烯醛;柠檬腈;
英文名称 3,7-Dimethyl-2,6-octadienenitrile
英文别名 GERANONITRILE;geranitrile;CITRALVA;3,7-Dimethylocta-2,6-dienenitrile;6-Octadienenitrile,3,7-dimethyl-2;LRT8;GERANYLNITRIL;Geranyl Nitrile;2,6-Dimethyl-1,5-heptadienyl Cyanide;GeranylNitrilecis-/trans-mixture;3,7-dimethyl-6-octadienenitrile;3,7-dimethyl-octa-2,6-dienenitrile;3,7-Dimethylocta-2,6-diennitril;GERANYL NITRILE;
CAS号 5146-66-7
合成路线:
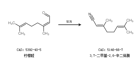
1.通过柠檬醛合成3,7-二甲基-2,6-辛二烯腈,收率约91%;

2.通过甲基庚烯酮和氰甲基磷酸二乙酯合成3,7-二甲基-2,6-辛二烯腈,收率约92%;

合成路线仅供参考