基本信息:
中文名称 2-吡啶醛肟甲氯
中文别名 1-甲基吡啶-2-醛肟氯盐;吡啶-2-甲醛肟氯甲烷盐;氯磷啶;吡啶-2-甲醛肟甲氯化物;
英文名称 pralidoxime chloride
英文别名 2-PAM CHLORIDE;2-Pyridinealdoxime methochloride;2-[(hydroxyimino)methyl]-1-methylpyridinium chloride;protopamchloride;Pyraloximi Methchlordum;1-methyl-2-pyridine aldoxyme chloride;2-PAM-Cl;PRALIDOXIME CHLORIDE;protopam;pralidoxime;Pralidoxome Chloride;Pyridine-2-aldoxiMe Meth;2-[hydroxyimino ethyl]-1-methylpyridinium chloride;PAM CHLORIDE;1-MethylpyridiniuM-2-aldoxiMe Chloride;Pralidoxime Chloride;PRALIDOXIMECHLORIDE,USP;
CAS号 51-15-0
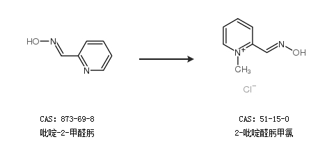
合成路线:
1.通过2-吡啶肟甲磺酸甲酯合成2-吡啶醛肟甲氯,收率约90%;

2.通过吡啶-2-甲醛肟合成2-吡啶醛肟甲氯

合成路线仅供参考