基本信息:
中文名称 1-氟-4-(2,2,2-三氟乙基)苯
英文名称 N-(10-hydroxy-1,2,3-trimethoxy-9-oxo-6,7-dihydro-5H-benzo[a]heptalen-7-yl)acetamide
英文别名 1-fluoro-4-(2,2,2-trifluoroethyl)benzene;3-(2,2,2-Trifluoroethyl)toluene;1,1,1-Trifluor-2-(m-tolyl)ethan;1,1,1-Trifluor-2-(p-fluorphenyl)ethan;
CAS号 50561-99-4
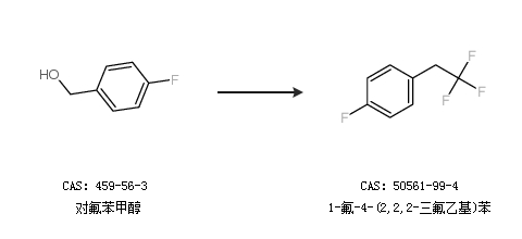
合成路线:
1.通过S-(三氟甲基)二苯并噻吩三氟甲基磺酸盐合成1-氟-4-(2,2,2-三氟乙基)苯,收率约56%;

2.通过对氟苯甲醇合成1-氟-4-(2,2,2-三氟乙基)苯

合成路线仅供参考