基本信息:
中文名称 (3-硝基苯基)-丙酸
英文名称 3-(3-nitrophenyl)prop-2-ynoic acid
英文别名 3-Nitro-phenyl-acetylencarbonsaeure;(3-Nitro-phenyl)-propinsaeure;3-(3-Nitrophenyl)propynoic acid;3-(3-nitrophenyl)-prop-2-ynoic acid;m-Nitro-phenylpropiolsaeure;(3-nitro-phenyl)-propiolic acid;3-(3-nitrophenyl)-2-propynoic acid;(3-Nitrophenyl)-propynoic acid;3-Nitro-phenylpropiolsaeure;
CAS号 4996-15-0
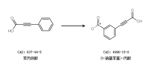
合成路线:
1.通过苯丙炔酸合成(3-硝基苯基)-丙酸

合成路线仅供参考