基本信息:
中文名称 蜀黍苷
中文别名 蜀黍腈苷;(S)-(β-D-Glucopyranosyloxy)(4-hydroxyphenyl)acetonitrile;
英文名称 (S)-4-hydroxymandelonitrile β-D-glucoside
英文别名 Dhurrin;CPD-1042;1e55;(2S)-2-(4-hydroxyphenyl)-2-[(2R,3R,4S,5S,6R)-3,4,5-trihydroxy-6-(hydroxymethyl)oxan-2-yl]oxyacetonitrile;(S)-4-hydroxymandelonitrile beta-D-glucoside;
CAS号 499-20-7
合成路线:
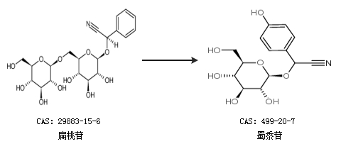
1.通过扁桃苷合成蜀黍苷

合成路线仅供参考