基本信息:
中文名称 罌粟酸
英文名称 3-hydroxy-4-oxopyran-2,6-dicarboxylic acid
英文别名 Meconic acid;3-HYDROXY-4-OXO-4H-PYRAN-2,6-DICARBOXYLIC ACID;2,6-Dicarboxy-3-hydroxy-<4>pyron;3-Hydroxy-4-oxo-1,4-pyran-2,6-dicarboxylic acid;Poppy acid;
CAS号 497-59-6
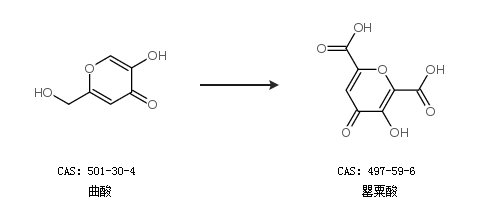
合成路线:
1.通过曲酸合成罌粟酸

2.通过3-羟基-2,6-双(羟基甲基)-4-吡喃酮合成罌粟酸,收率约29%;

合成路线仅供参考