你好,欢迎来到中华试剂网 购试剂 买耗材! [请登录][注册有惊喜]

货号快速下单 | 签到送积分   | 会员中心 | 客服热线:400-021-2765

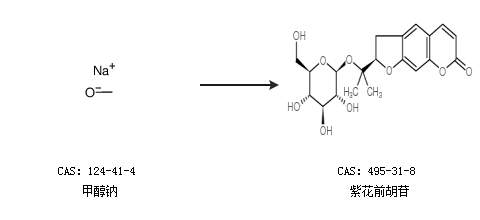
紫花前胡苷的合成路线有哪些?

提问时间:2021/4/22 10:11:41
紫花前胡苷有什么方法可以合成?

1条回复:

匿名
2021/4/22 10:11:41
基本信息:
中文名称 紫花前胡苷
中文别名 含紫花前胡甙;
英文名称 Nodakenin
CAS号 495-31-8

合成路线:
1.通过甲醇钠合成紫花前胡苷


合成路线仅供参考
回复