基本信息:
中文名称 3-环己烷吲哚-6-甲酸
中文别名 3-环己基-1H-吲哚-6-羧酸;
英文名称 3-cyclohexyl-1H-indole-6-carboxylic acid
英文别名 3-cyclohexyl-1H-indole-6-carboxylicacid;1H-Indole-6-carboxylic acid,3-cyclohexyl;3-cyclohexyl-6-indole carboxylic acid;3-Cyclohexylindole-6-carboxylic acid;
CAS号 494799-17-6
合成路线:
1.通过3-(1-环己烯-1-基)-1H-吲哚-6-羧酸合成3-环己烷吲哚-6-甲酸,收率约90%;

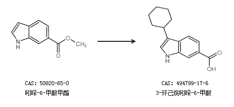
2.通过吲哚-6-甲酸甲酯合成3-环己烷吲哚-6-甲酸

合成路线仅供参考