基本信息:
中文名称 黄胺酸
中文别名 磺萘酸;2,4-二硝基-1-萘酚-7-磺酸;磺萘酸二水合物;
英文名称 flavianic acid
英文别名 2,4-Dinitro-1-naphthol-7-sulfonic Acid Dihydrate;FLAVIANIC ACID;Flavianic Acid Dihydrate;8-Hydroxy-5,7-dinitro-2-naphthalenesulfonic Acid Dihydrate;
CAS号 483-84-1
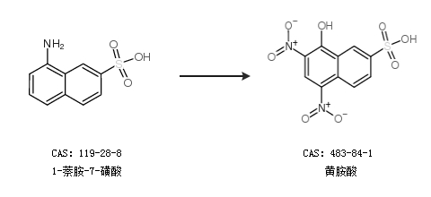
合成路线:
1.通过1-萘酚合成黄胺酸

2.通过1-萘胺-7-磺酸合成黄胺酸

合成路线仅供参考