基本信息:
中文名称 异樱花亭
中文别名 异野樱素;5,7-二羟基-4''-甲氧基黄烷酮;异樱花素;
英文名称 4''-methoxy-5,7-dihydroxyflavanone
英文别名 Isosakurametin;Citrifoliol;isokaurentin;5,7-DIHYDROXY-4''-METHOXYFLAVANONE;Kikokunetin;ISOSAKURANETIN;4''-Methoxy-5,7-dihydroxyflavanone;
CAS号 480-43-3
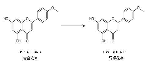
合成路线:
1.通过柚皮素和硫酸二甲酯合成异樱花亭

2.通过金合欢素合成异樱花亭

合成路线仅供参考