基本信息:
中文名称 3'',4'',5,7-四羟基异黄酮
中文别名 奥洛波尔;
英文名称 orobol
英文别名 5,7,3'',4''-Tetrahydroxyisoflavone;Santol;3''-hydroxygenistein;Orobol;Isoluteolin;3-(3,4-dihydroxyphenyl)-5,7-dihydroxychromen-4-one;3'',4'',5,7-tetrahydroxyisoflavone;Norsantal;
CAS号 480-23-9
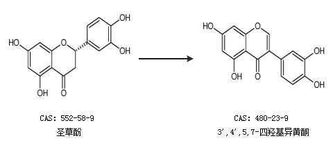
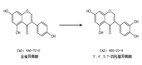
合成路线:
1.通过圣草酚合成3'',4'',5,7-四羟基异黄酮

2.通过金雀异黄酮合成3'',4'',5,7-四羟基异黄酮

合成路线仅供参考