基本信息:
中文名称 纳洛酮
中文别名 (5alpha)-3,14-二羟基-17-丙-2-烯-1-基-4,5-环氧吗啡烷-6-酮;(5α)-4,5-Epoxy-3,14-dihydroxy-17-(2-propen-1-yl)morphinan-6-one;
英文名称 naloxone
英文别名 [14C]-Naloxone;[3H]-Naloxone;Narcanti;Nalone;Naloxonum;EN 1530 base;(4R,4aS,7aR,12bS)-4a,9-dihydroxy-3-prop-2-enyl-2,4,5,6,7a,13-hexahydro-1H-4,12-methanobenzofuro[3,2-e]isoquinoline-7-one;Narcon;l-Naloxone;Narcan;n-Allylnoroxymorphone;Naloxona;
CAS号 465-65-6
合成路线:
1.通过14-羟基二氢降吗啡酮盐酸盐和3-溴丙烯合成纳洛酮,收率约84%;

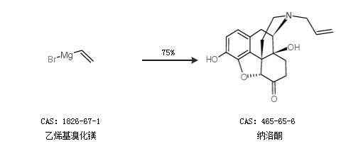
2.通过乙烯基溴化镁合成纳洛酮,收率约75%;

合成路线仅供参考