基本信息:
中文名称 3-氟-DL-苯丙氨酸
中文别名 DL-间氟苯丙氨酸;DL-3-氟苯丙氨酸;2-氨基-3-(3-氟苯基)丙酸;
英文名称 m-Fluoro-DL-phenylalanine
英文别名 3-FLUORO-DL-PHENYLALANINE;2-Amino-3-(3-fluorophenyl)propionic Acid;H-DL-Phe(3-F)-OH;3-Fluoro-DL-phenylalanine;2-Amino-3-(3-fluorophenyl)propanoic acid;
CAS号 456-88-2
合成路线:
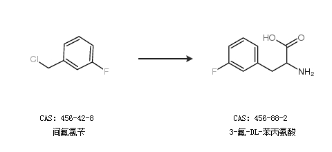
1.通过间氟氯苄合成3-氟-DL-苯丙氨酸

2.通过N-乙酰基-3-氟-DL-苯丙氨酸合成3-氟-DL-苯丙氨酸

合成路线仅供参考