基本信息:
中文名称 2-甲基-3-丁烯-1-醇
英文名称 2-METHYL-3-BUTEN-1-OL
英文别名 2-Methyl-3-buten-1-ol;3-Buten-1-ol,2-methyl;2-methyl-3-butene-1-ol;2-methyl-3-buten-1-o;3-methyl-1-buten-4-ol;1-hydroxy-2-methyl-3-butene;2-methylbut-3-en-1-ol;2-methyl-but-3-en-ol;
CAS号 4516-90-9
合成路线:
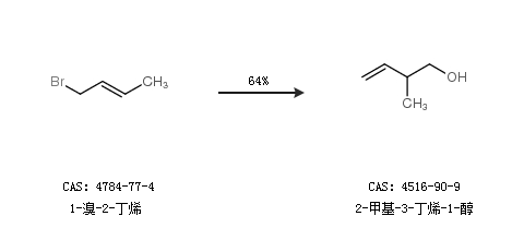
1.通过1-溴-2-丁烯合成2-甲基-3-丁烯-1-醇,收率约64%;

2.通过甲醛和反-2-丁烯合成2-甲基-3-丁烯-1-醇,收率约20%;

合成路线仅供参考