你好,欢迎来到中华试剂网 购试剂 买耗材! [请登录][注册有惊喜]

货号快速下单 | 签到送积分   | 会员中心 | 客服热线:400-021-2765

N,N-二乙基丁胺的合成路线有哪些?

提问时间:2021/4/22 10:11:40
N,N-二乙基丁胺有什么方法可以合成?

1条回复:

匿名
2021/4/22 10:11:40
基本信息:
中文名称 N,N-二乙基丁胺
中文别名 N,N-二乙基丁基胺;
英文名称 N,N-Diethylbutan-1-amine
英文别名 N,N-Diethyl butylamine;N,N-diethylbutan-1-amine;
CAS号 4444-68-2

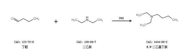
合成路线:
1.通过丁醛和二乙胺合成N,N-二乙基丁胺,收率约89%;


2.通过正丁胺合成N,N-二乙基丁胺


合成路线仅供参考
回复