基本信息:
中文名称 山楂酸
中文别名 山楂叶提取物;(2alpha,3beta)-2,3-二羟基齐墩果-12-烯-28-酸;马斯里酸;2Α-羟基齐墩果酸;
英文名称 maslinic acid
英文别名 Hawthorn Leaf Extract;Crataegolic acid;Maslinic acid;CRATEGOLIC ACID;maslinicacid;(4aS,6aR,6aS,6bR,8aR,10R,11R,12aR,14bS)-10,11-dihydroxy-2,2,6a,6b,9,9,12a-heptamethyl-1,3,4,5,6,6a,7,8,8a,10,11,12,13,14b-tetradecahydropicene-4a-carboxylic acid;
CAS号 4373-41-5
合成路线:
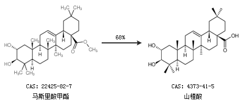
1.通过马斯里酸甲酯合成山楂酸,收率约68%;

2.通过齐墩果酸合成山楂酸

合成路线仅供参考