基本信息:
中文名称 三氟乙醛缩甲基半醇
中文别名 三氟乙醛甲基半缩醛;2,2,2-三氟-1-甲氧基乙醇;
英文名称 Trifluoroacetaldehyde Methyl Hemiacetal
英文别名 2,2,2-Trifluoro-1-methoxyethanol;2,2,2-trifluoro-1-methoxyethanol;Perfluoroacetaldehyde Methyl Hemiacetal;
CAS号 431-46-9
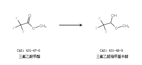
合成路线:
1.通过三氟乙酸甲酯合成三氟乙醛缩甲基半醇

2.通过三氟乙酸甲酯合成三氟乙醛缩甲基半醇

合成路线仅供参考