你好,欢迎来到中华试剂网 购试剂 买耗材! [请登录][注册有惊喜]

货号快速下单 | 签到送积分   | 会员中心 | 客服热线:400-021-2765

3-氨基-5-硝基吲唑的合成路线有哪些?

提问时间:2021/4/22 10:11:39
3-氨基-5-硝基吲唑有什么方法可以合成?

1条回复:

匿名
2021/4/22 10:11:39
基本信息:
中文名称 3-氨基-5-硝基吲唑
中文别名 3-氨基-5-硝基-1H-吲唑;
英文名称 5-Nitro-1H-indazol-3-amine
英文别名 3-Amino-5-nitro-1H-indazole;5-nitro-1H-indazol-3-amine;3-Amino-5-nitroindazole;
CAS号 41339-17-7

合成路线:
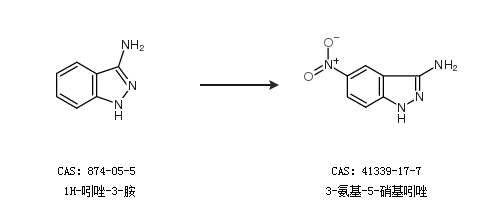
1.通过1H-吲唑-3-胺合成3-氨基-5-硝基吲唑


2.通过2-氯-5-硝基苯腈合成3-氨基-5-硝基吲唑


合成路线仅供参考
回复