基本信息:
中文名称 1,3,5-苯三羧酸三乙酯
中文别名 苯三羧酸三乙酯;
英文名称 triethyl benzene-1,3,5-tricarboxylate
英文别名 Trimesic acid triethyl ester;ethyl 3,5-bis(ethoxycarbonyl)benzoate;benzene-1,3,5-tricarboxylic acid triethyl ester;1,3,5-Benzenetricarboxylic acid,triethyl ester;Triethyl 1,3,5-benzenetricarboxylate;1,3,5-benzenetriethylcarboxylate;triethyl 1,3,5-benzene tricarboxylic acid;triethylbenzene-1,3,5-tricarboxylate;Triethyl trimesate;
CAS号 4105-92-4
合成路线:
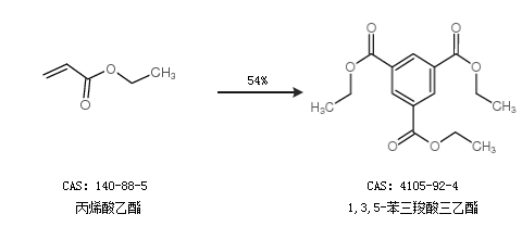
1.通过丙烯酸乙酯合成1,3,5-苯三羧酸三乙酯,收率约54%;

2.通过丙炔酸乙酯合成1,3,5-苯三羧酸三乙酯,收率约15%;

合成路线仅供参考