你好,欢迎来到中华试剂网 购试剂 买耗材! [请登录][注册有惊喜]

货号快速下单 | 签到送积分   | 会员中心 | 客服热线:400-021-2765

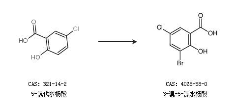
3-溴-5-氯水杨酸的合成路线有哪些?

提问时间:2021/4/22 10:11:39
3-溴-5-氯水杨酸有什么方法可以合成?

1条回复:

匿名
2021/4/22 10:11:39
基本信息:
中文名称 3-溴-5-氯水杨酸
英文名称 3-bromo-5-chloro-2-hydroxybenzoic acid
英文别名 3-Brom-5-chlor-salicylsaeure;3-bromo-5-chlorosalicylic acid;
CAS号 4068-58-0

合成路线:
1.通过5-氯代水杨酸合成3-溴-5-氯水杨酸


2.通过3-溴-5-氯水杨醛合成3-溴-5-氯水杨酸,收率约95%;


合成路线仅供参考
回复