基本信息:
中文名称 3-氰基-2-氟吡啶
中文别名 2-氟-3-氰基吡啶;2-氟烟酰腈;3-氰基-2-氟代吡啶;2-氟烟腈;
英文名称 3-Cyano-2-fluoropyridine
英文别名 2-Fluoropyridine-3-carbonitrile;2-Fluoronicotinonitrile;2-fluoropyridine-3-carbonitrile;
CAS号 3939-13-7
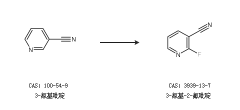
合成路线:
1.通过3-氰基吡啶合成3-氰基-2-氟吡啶

2.通过3-氰基吡啶和乙腈合成3-氰基-2-氟吡啶

合成路线仅供参考