基本信息:
中文名称 4,4''-二乙炔基联苯
中文别名 4,4-二乙炔联苯;
英文名称 1-ethynyl-4-(4-ethynylphenyl)benzene
英文别名 4,4''-bis-ethynyl-2,2''-biphenyl;4,4''-bisethynyl-1,1''-biphenyl;1,1''-Biphenyl,4,4''-diethynyl;1,1''-Diethynyl-4,4''-biphenyl;4,4''-Diethynyl-1,1''-biphenyl;4,4''-Diacetylenebiphenyl;4,4''-Diethynylbiphenyl;D4233;4'''',4''''''-dipyridyl-4,4''-diethynylbiphenyl;
CAS号 38215-38-2
合成路线:
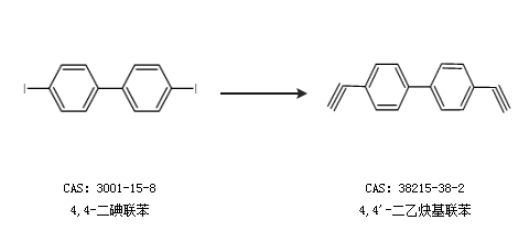
1.通过4,4-二碘联苯和三甲基乙炔基硅合成4,4''-二乙炔基联苯,收率约90%;

2.通过4,4-二碘联苯合成4,4''-二乙炔基联苯

合成路线仅供参考