基本信息:
中文名称 六氟戊二腈
英文名称 2,2,3,3,4,4-hexafluoropentanedinitrile
英文别名 Glutaronitrile,perfluoro;Hexafluoroglutaronitrile;Perfluoroglutaronitrile;Hexafluor-glutarsaeure-dinitril;Glutaronitrile,hexafluoro;Hexafluor-glutaronitril;Perfluor-glutarsaeure-dinitril;Perfluoroglutaric acid dinitrile;EINECS 206-818-6;hexafluoro-pentanedinitrile;tris(difluoromethylene) dicyanide;
CAS号 376-89-6
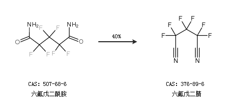
合成路线:
1.通过六氟戊二酰胺合成六氟戊二腈,收率约40%;

2.通过六氟戊二酸二乙酯合成六氟戊二腈

合成路线仅供参考