基本信息:
中文名称 氰尿酸三聚氰胺
中文别名 1,3,5-三嗪-2,4,6(1H,3H,5H)-三酮与1,3,5-三嗪-2,4,6-三胺(1:1)的化合物;无卤阻燃剂MPP;1,3,5-三嗪-2,4,6(1H,3H,5H)-三酮与1,3,5-三嗪-2,4,6-三胺的化合物;三聚氰胺氰脲酸盐;
英文名称 melamine cyanurate
英文别名 melamineisocyanurate;Melamincyanurat;Melamine cyanaurate;melaminkyanurat;mitecmx601;Melamine cyanurate;d022;MCAA;cyanuric acid melamine;
CAS号 37640-57-6
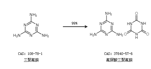
合成路线:
1.通过三聚氰胺合成氰尿酸三聚氰胺,收率约99%;

2.通过三聚氰胺和氰尿酸合成氰尿酸三聚氰胺

合成路线仅供参考