基本信息:
中文名称 全氟pentanal 水合物
英文名称 2,2,3,3,4,4,5,5,5-nonafluoropentanal,hydrate
英文别名 perfluorovaleraldehyde;nonafluoropentanal hydrate;nonafluoro-valeraldehyde;2,2,3,3,4,4,5,5,5-nonafluoropentanal Hydrate;Nonafluor-valeraldehyd;Perfluor-valeraldehyd;Perfluoropentanal;Perfluoropentanal hydrate;
CAS号 375-53-1
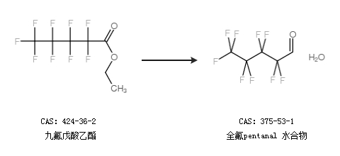
合成路线:
1.通过全氟碘代丁烷和N,N-二甲基甲酰胺合成全氟pentanal 水合物,收率约88%;

2.通过九氟戊酸乙酯合成全氟pentanal 水合物

合成路线仅供参考