你好,欢迎来到中华试剂网 购试剂 买耗材! [请登录][注册有惊喜]

货号快速下单 | 签到送积分   | 会员中心 | 客服热线:400-021-2765

1,6-二氯全氟己烷的合成路线有哪些?

提问时间:2021/4/22 10:11:36
1,6-二氯全氟己烷有什么方法可以合成?

1条回复:

匿名
2021/4/22 10:11:36
基本信息:
中文名称 1,6-二氯全氟己烷
英文名称 1,6-dichloro-1,1,2,2,3,3,4,4,5,5,6,6-dodecafluorohexane
英文别名 1,6-dichloro-1H,6H-dodecafluoro-hexane;PC9238;1,6-Dichloroperfluorohexane;
CAS号 355-40-8

合成路线:
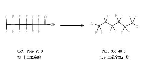
1.通过7H-十二氟庚酸合成1,6-二氯全氟己烷


合成路线仅供参考
回复