基本信息:
中文名称 2,4-二氯-5-氟苯胺
英文名称 2,4-DICHLORO-5-FLUOROANILINE
英文别名 2,4-Dichlor-5-fluor-anilin;2,4-Dichloro-5-fluoroaniline;2,4-dichloro-5-fluorophenylamine;5-Fluor-2.4-dichlor-anilin;2,4-Dichloro-5-fluoroanline;2,4-dichloro-5-fluoro-aniline;Benzenamine,2,4-dichloro-5-fluoro;
CAS号 348-64-1
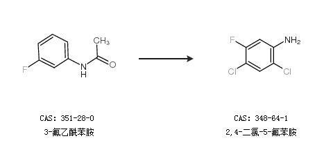
合成路线:
1.通过2,4-二氯-5-氟硝基苯合成2,4-二氯-5-氟苯胺,收率约91%;

2.通过3-氟乙酰苯胺合成2,4-二氯-5-氟苯胺

合成路线仅供参考