你好,欢迎来到中华试剂网 购试剂 买耗材! [请登录][注册有惊喜]

货号快速下单 | 签到送积分   | 会员中心 | 客服热线:400-021-2765

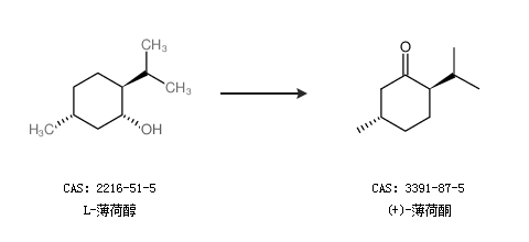
(+)-薄荷酮的合成路线有哪些?

提问时间:2021/4/22 10:11:36
(+)-薄荷酮有什么方法可以合成?

1条回复:

匿名
2021/4/22 10:11:36
基本信息:
中文名称 (+)-薄荷酮
英文名称 (+)-menthone
英文别名 D-menthone;(2R,5S)-5-methyl-2-propan-2-ylcyclohexan-1-one;(1S,4R)-p-Menthan-3-one,(2R,5S)-2-Isopropyl-5-methylcyclohexanone;
CAS号 3391-87-5

合成路线:
1.通过L-薄荷醇合成(+)-薄荷酮


2.通过香茅醛合成(+)-薄荷酮


合成路线仅供参考
回复