你好,欢迎来到中华试剂网 购试剂 买耗材! [请登录][注册有惊喜]

货号快速下单 | 签到送积分   | 会员中心 | 客服热线:400-021-2765

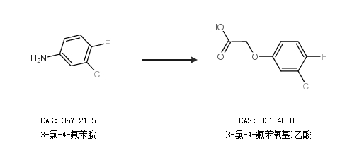
(3-氯-4-氟苯氧基)乙酸的合成路线有哪些?

提问时间:2021/4/22 10:11:36
(3-氯-4-氟苯氧基)乙酸有什么方法可以合成?

1条回复:

匿名
2021/4/22 10:11:36
基本信息:
中文名称 (3-氯-4-氟苯氧基)乙酸
英文名称 2-(3-chloro-4-fluorophenoxy)acetic acid
英文别名 3-chloro-4-fluoro-phenoxyacetic acid;
CAS号 331-40-8

合成路线:
1.通过3-氯-4-氟苯酚和溴乙酸甲酯合成(3-氯-4-氟苯氧基)乙酸,收率约80%;


2.通过3-氯-4-氟苯胺合成(3-氯-4-氟苯氧基)乙酸


合成路线仅供参考
回复