基本信息:
中文名称 4-溴-2-氟乙酰苯胺
中文别名 4''-溴-2''-氟乙酰苯胺;
英文名称 N-(4-bromo-2-fluorophenyl)acetamide
英文别名 2-fluoro-4-bromoacetanilide;N-(4-bromo-2-fluorophenyl) acetamide;4''-BroMo-2''-fluoroacetanilide;4-Bromo-2-fluoroacetanilide;Essigsaeure-(4-brom-2-fluor-anilid);N-(4-Bromo-2-fluorophenyl)acetamide;acetic acid-(4-bromo-2-fluoro-anilide);N-acetyl-2-fluoro-4-bromoaniline;
CAS号 326-66-9
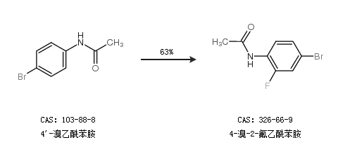
合成路线:
1.通过4-溴-2-氟苯胺和乙酰氯合成4-溴-2-氟乙酰苯胺,收率约96%;

2.通过4''-溴乙酰苯胺合成4-溴-2-氟乙酰苯胺,收率约63%;

合成路线仅供参考