你好,欢迎来到中华试剂网 购试剂 买耗材! [请登录][注册有惊喜]

货号快速下单 | 签到送积分   | 会员中心 | 客服热线:400-021-2765

1-甲氧基-4-(2-硝基乙基)苯的合成路线有哪些?

提问时间:2021/4/22 10:11:35
1-甲氧基-4-(2-硝基乙基)苯有什么方法可以合成?

1条回复:

匿名
2021/4/22 10:11:35
基本信息:
中文名称 1-甲氧基-4-(2-硝基乙基)苯
英文名称 1-methoxy-4-(2-nitroethyl)benzene
英文别名 lysichitalexin;
CAS号 31236-71-2

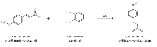
合成路线:
1.通过1-(4-甲氧苯基)-2-硝基乙烯合成1-甲氧基-4-(2-硝基乙基)苯,收率约97%;


2.通过1-(4-甲氧苯基)-2-硝基乙烯和1,2-苯二胺合成1-甲氧基-4-(2-硝基乙基)苯,收率约93%;


合成路线仅供参考
回复