基本信息:
中文名称 2-(甲基磺酰基)苯胺
中文别名 2-甲磺酰基苯胺;
英文名称 2-methylsulfonylaniline
英文别名 2-(methylsulfonyl)aniline;2-Methansulfonyl-anilin;2-(methylsulfonyl)benzenamine;2-methanesulfonylphenylamine;Methyl-(2-amino-phenyl)-sulfon;2-Methylsulfon-anilin;(2-mesylphenyl)amine;2-methanesulfonyl-aniline;2-(Methylsulphonyl)aniline;
CAS号 2987-49-7
合成路线:
1.通过N-(2-(甲磺酰)苯基)乙酰胺合成2-(甲基磺酰基)苯胺,收率约86%;

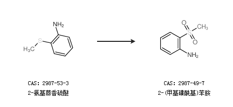
2.通过2-氨基茴香硫醚合成2-(甲基磺酰基)苯胺

合成路线仅供参考