基本信息:
中文名称 2,2-二甲基戊二酸酐
中文别名 2,2-二甲基戊酸酐;
英文名称 3,3-dimethyloxane-2,6-dione
英文别名 dimethylglutaric anhydride;3,3-dimethylglutaric anhydride;3,3-dimethyl glutaric acid anhydride;2,2-Dimethylglutaric Anhydride;2,2-Dimethylglutaric anhydride;2,2-dimethylglutaric acid anhydride;
CAS号 2938-48-9
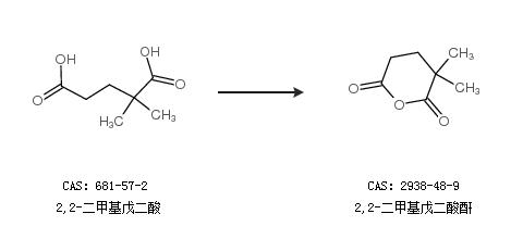
合成路线:
1.通过2,2-二甲基戊二酸合成2,2-二甲基戊二酸酐,收率约71%;

2.通过2,2-二甲基戊二酸合成2,2-二甲基戊二酸酐

合成路线仅供参考