基本信息:
中文名称 1,3-二羟基-9-吖啶羧酸
英文名称 1-hydroxy-3-oxo-10H-acridine-9-carboxylic acid
英文别名 1,3-dihydroxy-acridine-9-carboxylic acid;1,3-Dihydroxy-9-acridinecarboxylic acid;1,3-Dihydroxy-acridin-9-carbonsaeure;1,3-dihydroxyacridin-9-carboxylic acid;
CAS号 28332-99-2
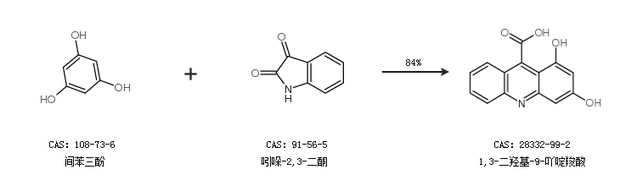
合成路线:
1.通过间苯三酚和吲哚-2,3-二酮合成1,3-二羟基-9-吖啶羧酸,收率约84%;

合成路线仅供参考