你好,欢迎来到中华试剂网 购试剂 买耗材! [请登录][注册有惊喜]

货号快速下单 | 签到送积分   | 会员中心 | 客服热线:400-021-2765

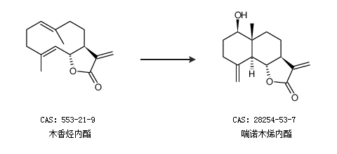
喘诺木烯内酯的合成路线有哪些?

提问时间:2021/4/22 10:10:34
喘诺木烯内酯有什么方法可以合成?

1条回复:

匿名
2021/4/22 10:10:34
基本信息:
中文名称 喘诺木烯内酯
英文名称 reynosin
英文别名 ;Reynosin;Reysin;
CAS号 28254-53-7

合成路线:
1.通过木香烃内酯合成喘诺木烯内酯


2.通过木香烃内酯合成喘诺木烯内酯


合成路线仅供参考
回复