基本信息:
中文名称 苯丙炔醛
中文别名 苯基炔丙基醛;
英文名称 3-phenylprop-2-ynal
英文别名 3-phenylpropargylaldehyde;phenylpropargyl aldehyde;Phenylpropargylaldehyde;3-phenyl-2-propynal;Phenylpropynal;phenylacetylene carboxaldehyde;3-Phenylpropiolaldehyde;3-Phenylpropynal;2-Propynal,3-phenyl;Phenylpropiolaldehyde;
CAS号 2579-22-8
合成路线:
1.通过N,N-二甲基甲酰胺和苯乙炔合成苯丙炔醛,收率约97%;

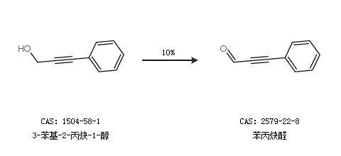
2.通过3-苯基-2-丙炔-1-醇合成苯丙炔醛,收率约10%;

合成路线仅供参考