基本信息:
中文名称 L-异亮氨酸甲酯
英文名称 (2S,3S)-2-Amino-3-methyl-pentanoic acid methyl ester
英文别名 methyl L-isoleucinate;L-isoleucine methyl ester;isoleucine methyl ester;H-L-Ile-OMe;L-Isoleucine methyl;
CAS号 2577-46-0
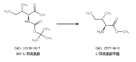
合成路线:
1.通过甲醇和L-异亮氨酸合成L-异亮氨酸甲酯,收率约94%;

2.通过BOC-L-异亮氨酸合成L-异亮氨酸甲酯

合成路线仅供参考