基本信息:
中文名称 3-氨基联苯
中文别名 3-联苯胺;
英文名称 3-AMINOBIPHENYL
英文别名 3-Biphenylamine;3-amino-1,1''-biphenyl;M-AMINOBIPHENYL;biphenyl-3-amine;3-Aminodiphenyl;3-AMINODIPHENYL;3-Phenylaniline;m-Phenylaniline;biphenyl-3-ylamine;3-BIPHENYLAMINE;
CAS号 2243-47-2
合成路线:
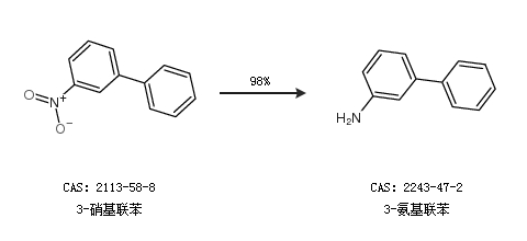
1.通过3-硝基联苯合成3-氨基联苯,收率约98%;

2.通过间溴苯胺和苯硼酸合成3-氨基联苯,收率约99%;

合成路线仅供参考